有關XRF的常見術語和問答(4)
單次測量的計數的標準偏差
單次測量的計數的標準偏差 Sc 和相對標準偏差 ε 分別為:
式中:N為單次測量的計數。上述公式僅在背景強度可以忽略的情況下適用。
單次測量的譜峰凈計數的標準偏差
當背景不能忽略時,必須扣除背景。此時單次測量的譜峰凈計數的標準偏差 Sc 和相對標準偏差ε分別為:
式中:NP 為單次測量的譜峰計數。NB 為單次測量的背景計數。
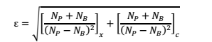
比率計數法的單次測量的計數的標準偏差
分析未知樣品x時,為了獲得準確的結果,有時需要用比較物質c進行比較。當采用簡單的相對強度(比率計數)法計算結果時,單次測量的相對標準偏差ε為:
式中:NP 為單次測量的譜峰計數。NB 為單次測量的背景計數。下標 x 表示對未知樣的測量結果。下標 c 表示對比較物質的測量結果。
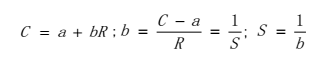
(X射線熒光光譜分析的)靈敏度S
靈敏度S(sensitivity)是測量系統示值變化除以相應的被測量值變化所得的商。 X射線熒光光譜分析的靈敏度按分析線測量強度(計數率)隨分析元素濃度的變化率來定義。靈敏度為單位濃度對應的計數率或校準曲線斜率的倒數:
式中,a表示校準曲線的截距;R表示分析線的凈強度或計數率;b表示校準曲線的斜率;S表示分析的靈敏度,kcps/%,或cps/ppm。
(X射線熒光光譜分析的)檢出限LOD
檢出限LOD(limit of detection),過去也稱為檢測限,檢出極限,探測下限LLD(lower limit of detection)。以濃度表示,是指由特定的分析步驟能夠合理地檢測出的最小分析信號XLD求得的最低濃度CLD。用信噪比法,指由基質空白所產生的儀器背景信號標準偏差的3倍值的相應量,即:
式中,Rb為背景(本底)計數強度,N為已知濃度為C的低濃度試樣的計數強度,T為測量時間。
檢出限與測量時間有關,不給出測量時間的檢出限是沒有意義的。
檢出限對微量或痕量分析儀器來說是最重要的指標,檢出限越小則儀器越好。
定量限LOQ
定量限LOQ(limit of quantity)或QL(quantification limit),過去也稱為測定限(determination limit,limit of determination),以濃度表示,是指在限定誤差能滿足預定要求的前提下,用特定方法能夠準確定量測定被測物質的最低濃度CLQ。一般是檢出限的3倍或10/3倍。
檢出限LOD和定量限LOQ兩者的區別在于,定量限所規定的最低濃度,應滿足一定的精密度和準確度的要求。
測量范圍下限值和上限值
測量范圍下限值(measuring range lower limit):是在規定條件下,可由具有一定的儀器不確定度的測量儀器或測量系統能夠測量出的最低量值,一般就是定量限LOQ。測量范圍上限值(measuring range higher limit):是在規定條件下,可由具有一定的儀器不確定度的測量儀器或測量系統能夠測量出的最大量值。
有些公司在給出產品的技術指標時將測量范圍下限值寫為“0”,這時極不科學的。還有的是以檢出限作為測量范圍下限值,這也是錯誤的,并且還帶有欺騙性。
一般在技術指標中只要給出檢出限就可以了,因為給出了檢出限也就給出了定量限及測量范圍下限值。如果在技術指標中再給出測量范圍,那么主要是為了給出測量范圍上限值。
準確度、正確度和精密度的關系
測量準確度(measurement accuracy , accuracy of measurement),簡稱準確度(accuracy),是由測量所得量值與被測量真值間的一致程度。概念“測量準確度”不是一個量,不給出有數字的量值。當測量提供較小的測量誤差時就說該測量是較準確的。
測量儀器的準確度(accuracy of a measuring instrument)是測量儀器的示值與被測量真值間的一致程度。準確度(accuracy)是一個定性概念。測量儀器準確度是表征測量儀器品質和特性的最主要的性能,因為任何測量儀器的目的就是為了得到準確可靠的測量結果,實質就是要求示值更接近于真值。為此雖然測量儀器準確度是一種定性的概念,但從實際應用上人們需要以定量的概念,如用準確度等級、測量儀器的示值誤差、最大允許誤差或引用誤差等來具體表述,以確定其測量儀器的示值接近于其真值能力的大小。
測量正確度(measurement trueness , trueness of measurement),簡稱正確度(trueness),是無窮多次重復測量所得量值的平均值與一個參考量值間的一致程度。測量正確度不是一個量,不能用數值表示。測量正確度與系統測量誤差有關,與隨機測量誤差無關。
測量精密度(measurement precision),簡稱精密度(precision),是在規定條件下,對同一或類似被測對象重復測量所得示值或被測量的值 間 的一致程度。精密度也是一個定性概念。但從實際應用上人們需要以定量的概念來具體表述。測量精密度通常用不精密程度以數字形式表示,如在規定測量條件下的標準偏差、方差或變差系數。規定條件可以是重復性測量條件,期間精密度測量條件或復現性測量條件。精密度是準確度的一個組成部分,而且是它的一個重要的組成部分。精密度國際上已不再使用。
傳統的誤差理論認為準確度是系統誤差與隨機誤差的綜合,精密度決定于隨機誤差(過失除外),準確度高,一定需要精密度高,但精密度高,卻不一定準確度高,因此精密度是保證準確度的先決條件。
重復性和復現性、期間精密度和穩定性的區別
[測量儀器的]重復性(repeatability[of a measuring instrument])是指,在相同測量條件下,重復測量同一個被測量,測量儀器提供相近示值的能力。這些條件包括:相同的測量程序;相同的觀測者;在相同條件下使用相同的測量設備;在相同地點;在短時間內重復。重復性可用示值的分散性定量地表示,最為常用的是實驗標準差。
測量重復性(measurement repeatability),簡稱重復性(repeatability),是在重復性測量條件下的測量精密度。以包括相同測量程序、相同操作者、相同測量系統、相同操作條件和相同地點,在短時間內對同一或相類似被測對象重復測量的一組測量條件稱為重復性測量條件(repeatability condition of measurement),簡稱重復性條件(repeatability condition)。重復性可用測量結果的分散性定量表示。
測量復現性(measurement reproducibility),簡稱復現性(reproducibility),是在復現性測量條件下的測量精密度。以包括不同地點、不同操作者、不同測量系統、對同一或相類似被測對象重復測量的一組測量條件,稱為復現性測量條件(reproducibility condition of measurement),簡稱復現性條件(reproducibility condition)。在給出復現性時應說明改變和未變的條件及實際改變到什么程度。復現性可用測量結果的分散性定量地表示,最為常用的是實驗標準差。測量結果在這里通常理解為已修正結果。
重復性是在相同測量條件下,復現性是在改變了的測量條件下。
期間測量精密度(intermediate measurement precision),簡稱期間精密度(intermediate precision),是一段時期內在期間精密度測量條件下的測量精密度。以包括相同測量程序、相同地點,但可能包括有改變的其它條件,在一個長時期內重復測量同一或相類似被測對象的一組測量條件,稱期間精密度測量條件(intermediate precisioncondition of measurement),簡稱期間精密度條件(intermediateprecision condition)。改變的條件可包括新的校準、測量標準器、操作者和測量系統。在給出期間精密度時應說明改變和未變的條件及實際改變到什么程度。
測量儀器的穩定性(stability of a measurement instrument),簡稱穩定性(stability),是測量儀器保持其計量特性隨時間恒定的特性。穩定性可用幾種方式量化。例:a) 用計量特性變化到某個規定的量所經過的時間間隔表示;b) 用特性在規定時間間隔內發生的變化表示。
誤差、絕對誤差與相對誤差
測量誤差(measurement error , error of measurement),簡稱誤差(error),是測得的量值減去參考量值。
當有必要與相對誤差相區別時,此術語有時稱為測量的絕對誤差。注意絕對誤差就是誤差,是有正負的,不要與誤差的絕對值相混淆,后者為誤差的模。
相對誤差(relative error)是測量誤差除以參考量值。
誤差、系統誤差與隨機誤差
測量誤差(measurement error , error of measurement),簡稱誤差(error),是測得的量值減去參考量值。
系統測量誤差(systematic measurement error),簡稱系統誤差(systematic error),是在重復測量中保持恒定不變或按可預見方式變化的測量誤差的分量。系統測量誤差的參考量值是真值,或是測量不確定度可忽略不計的測量標準的測得值,或是約定量值。系統測量誤差及其來源可以是已知或未知的。對于已知的系統測量誤差可采用修正補償。
隨機測量誤差(random measurement error),簡稱隨機誤差(random error),是在重復測量中按不可預見方式變化的測量誤差的分量。隨機測量誤差的參考量值是對同一被測量由無窮多次重復測量得到的平均值。一組重復測量的隨機測量誤差形成一種分布,該分布可用期望和方差描述,其期望通常可假設為零。
隨機誤差等于誤差減系統誤差。
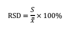
相對標準偏差RSD
相對標準偏差RSD為:
..................................................
查看更多內容,請下載文檔。

聯系我們